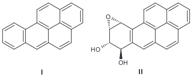
A primeira relação entre câncer e produtos de combustão data de 1775, realizada na Inglaterra, na qual foi descrita a elevada incidência de câncer em jovens limpadores de chaminés, os quais tinham contato diário com fumaça e alcatrão. O benzopireno (I) foi o primeiro composto carcinogênico isolado do alcatrão. Esse hidrocarboneto aromático policíclico é convertido, por meio de uma biotransformação, no composto (II), que é o real causador do câncer.

BARBOSA, L. C. A. Introdução à química orgânica.
São Paulo: Pearson, 2010 (adaptado).
A biotransformação do composto (I) em (II) corresponde a uma reação de