Facebook Pixel

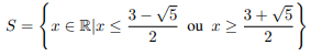
A solução da inequação exponencial é:

URCA 2021

Equações e inequações exponenciais

A solução da inequação exponencial inequação exponencial da questão é:

1

Total de Respostas

100% (1)

Acertos

0% (0)

Erros

Comentários