
HARRIS, S. A Ciência ri. São Paulo: Unesp, 2007.
A charge ilustra a transferência de matéria numa cadeia alimentar.
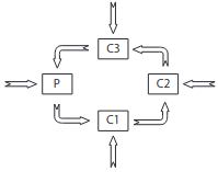
Considerando as setas indicativas de entrada e saída de energia nos níveis tróficos, o esquema que representa esse fluxo é
Legenda: P produtores; C1 consumidor primário; C2 consumidor secundário e C3 consumidor terciário.