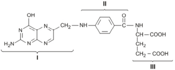
O ácido fólico é uma vitamina do complexo B hidrossolúvel, presente no espinafre, aspargo, brócolis, vegetais de folhas verde-escuras, fígado, frutas cítricas e gema de ovo. Estudos mostram que a ingestão de ácido fólico três meses antes de a mulher engravidar e três meses depois da fecundação previne em mais da metade as chances de o bebê vir a apresentar alterações do tubo neural. O ácido fólico, fórmula molecular C19H19O6N7, é constituído por três blocos construtivos:
I – deriva do composto nitrogenado pteridina;
II – deriva do ácido p-aminobenzoico; e
III – deriva do ácido glutâmico.
Segue abaixo a fórmula estrutural simplificada do ácido fólico:

De acordo com as informações acima, assinale a alternativa correta.