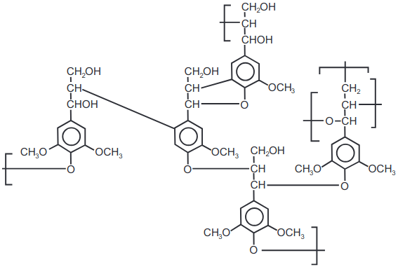
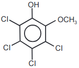
O papel tem na celulose sua matéria-prima, e uma das etapas de sua produção é o branqueamento, que visa remover a lignina da celulose. Diferentes processos de branqueamento usam, por exemplo, cloro (Cl2), hipoclorito de sódio (NaClO), oxigênio (O2), ozônio (O3) ou peróxido de hidrogênio (H2O2). Alguns processos de branqueamento levam à formação de compostos organoclorados. São apresentadas as estruturas de um fragmento da lignina e do tetracloroguaiacol, um dos organoclorados formados no processo de branqueamento.

Fragmento da Lignina

Tetracloroguaiacol
SANTOS, C. P. et al. Papel: como se fabrica? Química Nova na Escola, n. 14, 2001 (adaptado).
Os reagentes capazes de levar à formação de organoclorados no processo citado são