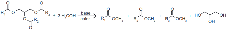
Um dos métodos de produção de biodiesel envolve a transesterificação do óleo de soja utilizando metanol em meio básico (NaOH ou KOH), que precisa ser realizada na ausência de água. A figura mostra o esquema reacional da produção de biodiesel, em que R representa as diferentes cadeias hidrocarbônicas dos ésteres de ácidos graxos.

A ausência de água no meio reacional se faz necessária para